World News Update
  • DMCA
  • Contact
  • Privacy Policy
Home ยป CNA Quizlet Challenge: Can You Answer These 10 Tough Questions? (Prove You're Ready!) - World News Update

CNA Quizlet Challenge: Can You Answer These 10 Tough Questions? (Prove You're Ready!) - World News Update

๐Ÿ“… December 17, 2025 ๐Ÿ‘ค Goldie

Can You Answer These 10 Questions To Become A U.S. Citizen?

๐Ÿ”— Related Articles You Might Like:

Wells Fargo Card Replacement Secrets Banks Don't Want You To Know! (Save Time & Money) Ready For A Massive Career Leap? Discover Why Smart Money Is On These Courses Pepperdine Provides. Before It's Too Late: Essential Questions To Ask Riverside Funeral Home In Albuquerque New Mexico.

๐Ÿ“ธ Image Gallery

Can You Answer These 10 Questions To Become A U.S. Citizen?
Chapters 1 and 3 Can you answer these questions - Chapters 1 and 3: Can
DOD Cyber Awareness Challenge 2024 Questions with Accurate Answers 2023
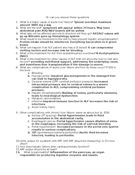
GI questions-answers - GI- can you answer these questions What is a
86+ Hard Riddles (With Answers) - Really Hardest to Solve - Happily
Sunup on 7!!! | March 19, 2025 | By 7 News Belize | Good morning. And
Les Feldick Bible Study Live 24/7 | Les Feldick Bible Study Live 24/7
Cna Final Exam 100 Questions Quizlet Multiple Choice Printable
Free Printable CNA Practice Test 5 Part 2 Worksheet
Answer Cat
13 Ways To Answer "Why Do You Want To Work Here" | Robertson College
Sunup on 7!!! | March 19, 2025 | By 7 News Belize | Good morning. And
Sunup on 7!!! | March 19, 2025 | By 7 News Belize | Good morning. And
WATCH LIVE: Day 2 of witness testimony in Karen Read retrial. | WATCH
๐Ÿค” Can You Answer These 20 Common Trivia Questions? in 2025 | Trivia
Solved hi can you answer these please? | Chegg.com
DOD Cyber Awareness Challenge 2025|2026 Definitive Exam Guide
Prove that root 2 is irrational - Teachoo [with Video] - Examples
Daily Trivia Quizzes added a new photo. - Daily Trivia Quizzes
Sunup on 7!!! | March 19, 2025 | By 7 News Belize | Good morning. And
Les Feldick Bible Study Live 24/7 | Les Feldick Bible Study Live 24/7
WATCH LIVE: Day 2 of witness testimony in Karen Read retrial. | WATCH
CNA Practice Test Questions - Prometric - CNA - Stuvia US
Can you answer these questions - What is the highest level of data
Cambridge Igcse Multiple Choice Answer Sheet - KamroncelSalas
Memphis wrestling: Can you answer these 22 trivia questions?
Bible Trivia Questions And Answers - 10 Free PDF Printables
Sunup on 7!!! | March 19, 2025 | By 7 News Belize | Good morning. And
WATCH LIVE: Day 2 of witness testimony in Karen Read retrial. | WATCH
Youdoxa Cna

๐Ÿ“– Continue Reading:

Galesburg Reg Mail Exclusive: The Story Everyone's Talking About! Culver's Flavor Of The Day: We Rank EVERY Flavor - You Won't Believe #1!

๐Ÿ“š You May Also Like These Articles

๐Ÿ“Œ Dial Murray Obituaries: Share Your Memories And Celebrate [His/Her] Life
๐Ÿ“Œ *Hairstyles For Medium Length Bobs* So Good, They'll Make You Chop Your Hair Off
๐Ÿ“Œ Ohio BMV Driver's Test Schedule: Last-Minute Openings REVEALED! (Limited Spots Available)
๐Ÿ“Œ Laticrete Grout Crossover Chart: A Beginner's Guide (But A Pro's Secret Weapon)
๐Ÿ“Œ Crumbl Lineup September 2024: We Asked A Baker What Makes These Cookies So Special!
๐Ÿ“Œ Hanover PA's Evening Sun: Remembering The Fallen โ€“ Obituaries Inside
๐Ÿ“Œ Staten Island Obituaries Today: A Final Farewell To Local Legends
๐Ÿ“Œ Official Update: San Dimas Kaiser Lab Hours You Can't Afford To Miss Before Your Next Visit!

๐Ÿ”ฅ Popular Posts

  • Johnson-Williams Funeral Home Obituaries: Honoring Lives, Re...
  • Na James Funeral Home Obituaries: A Community Remembers โ€“ Re...
  • Lip Twitching Meaning: Don't Ignore This! Early Warning Sign...
  • Horry County SC Property Tax Records: Avoid Penalties! Find...
  • Dial Murray Obituaries: Share Your Memories And Celebrate [H...
  • Bernstein Funeral Home GA: The Untold Stories You Need To Kn...
  • Kankakee Daily Journal Obits: Celebrating Life, One Obituary...
  • Evening Tribune Obituaries: Their Stories Live On - See Who...
  • Is Your Vectren Energy Payment Method A Scam? Warning Signs...
  • Phoenix Police Non-Emergency: What *Not* To Call 911 For (Yo...

๐Ÿ“ Recent Posts

  • Horry Detention Center: A Local's Guide To Understanding The...
  • AMC Cookeville Tennessee: Is This The *Cleanest* Movie Theat...
  • These San Antonio TX Express News Obituaries Will Make You R...
  • MDJudiciary Search Nightmare? Avoid These Common Pitfalls (a...
  • Hillsborough County Police Non-Emergency Number: Unveiling T...
  • Canadian County Assessor's Office: Are YOUR Property Taxes A...
  • LA's Thirst Quencher: When Did The Last Rain Actually Fall?...
  • TDCJ Commissary Price List LEAKED! How Much Do Inmates Pay?...
  • Gutfeld Guests UNLEASHED: The SHOCKING Truth They Can't Tell...
  • MyUHCMedicare Secrets Your Agent Won't Tell You! (Are You Mi...
© 2025 World News Update  ยท  Powered by Hugo
close